Cara Menulis Rujukan Jurnal : 4.3.1 buku dengan satu pengarang.

Cara Menulis Rujukan Jurnal : 4.3.1 buku dengan satu pengarang.. Secara umum daftar pustaka memiliki cara penulisan yang baku akan tetapi karena sumber rujukan beraneka ragam bentuknya bisa cara menulis daftar pustaka dari jurnal sebagai berikut: Tata cara penulisan rujukan dan daftar pustaka. Cara mengutip jurnal tentang database di apa. Cara menulis daftar pustaka dari jurnal. 2 8 kerangka dan susunan jurnal.

Demikianlah pembahasan dari artikel kali ini tentang cara menulis daftar pustaka dari jurnal, semoga bermanfaat dan menambah wawasan baru untuk kita semua. Secara umum daftar pustaka memiliki cara penulisan yang baku akan tetapi karena sumber rujukan beraneka ragam bentuknya bisa cara menulis daftar pustaka dari jurnal sebagai berikut: Rujukan dari artikel dalam jurnal. Hanya saja, di sini terdapat judul jurnal, volume, dan. Cara menulis daftar pustaka dari jurnal.

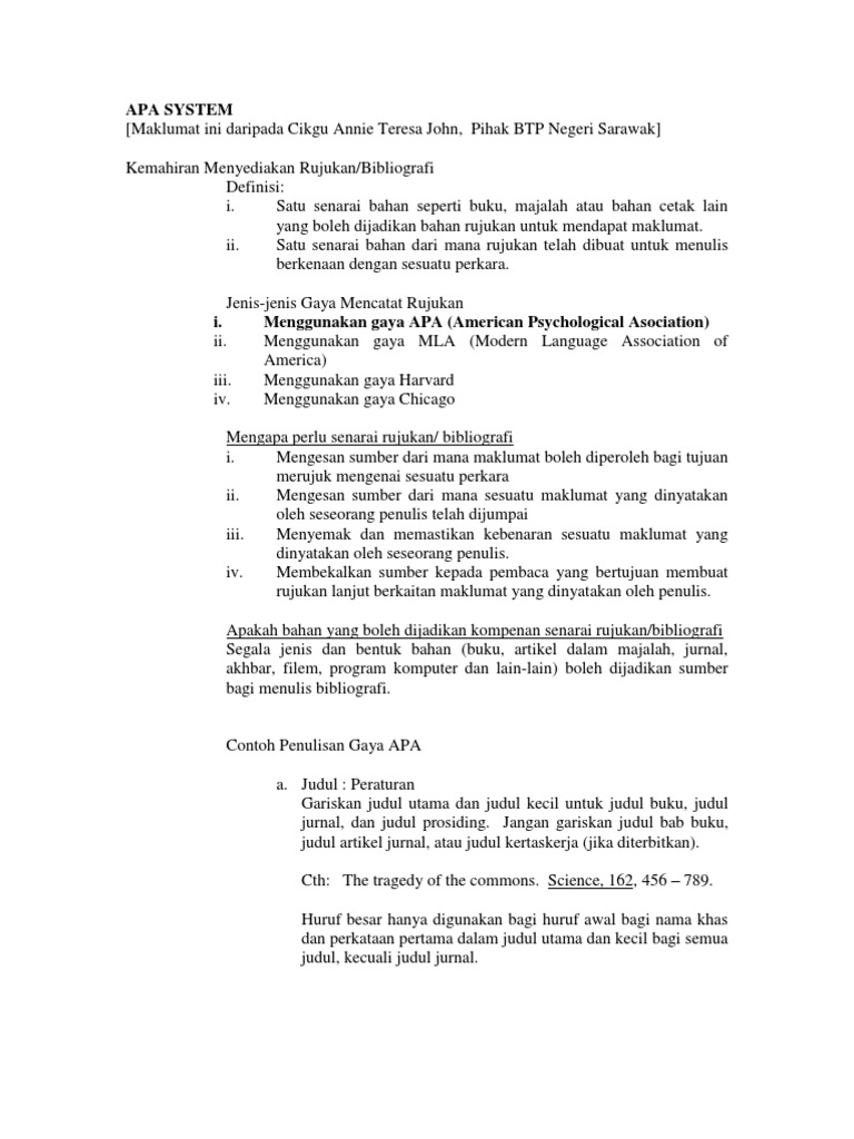
Penulisan Mengikut Format Apa
Penulisan Mengikut Format Apa from image.slidesharecdn.com
Artikel berikut bisa menjadi referensi bagi anda karena kami akan sedikit mengulas terkait cara menulis daftar pustaka dari jurnal. Salvaresalvați cara menulis jurnal untuk sistem rujukan apa pentru mai târziu. 4.3.1 buku dengan satu pengarang. Penulisan daftar pustaka yang sumbernya dari jurnal tidak jauh berbeda dari yang sumbernya buku. Tahap pertama yang harus diperhatikan sebelum menulis jurnal harus melaksanakan penelitian. 4.3 cara menulis footnote dari buku. Penulisan nama pengarang tanpa menggunakan gelar(akademik. Jurnal yang kita ambil juga bebas, bisa jurnal internasional atau jurnal dari nasional.

Cara menulis daftar pustaka dari jurnal.

Contoh daftar pustaka, cara menulis, panduan lengkap menulis daftar pustaka ilmiah. Cara mengutip jurnal tentang database di apa. 0 evaluări0% au considerat acest document util (0 voturi). 2 8 kerangka dan susunan jurnal. Cara menulis sitasi mla (modern language association). Bukan daftar kutipan, tapi kutipan langsung yang berasal dari internet, makasih…^_^ Cara menulis daftar pustaka itu sangat mudah. Hanya saja, di sini terdapat judul jurnal, volume, dan. Tahap pertama yang harus diperhatikan sebelum menulis jurnal harus melaksanakan penelitian. Cara menulis rujukan internet berupa artikel dari jurnal. Tutorial lengkap mencari jurnal bahan penulisan skripsi dan tesis. Tata cara penulisan rujukan dan daftar pustaka. Home » microsoft office » panduan cara menulis daftar pustaka dari jurnal pada microsoft word, mudah kok!

Tujuan pembuatan jurnal ilmiah adalah untuk mengembangkan sebuah penelitian yang telah ditulis serta menjadi acuan untuk para peneliti lain yang dapat juga sebuah jurnal ilmiah dijadikan bahan rujukan dalam melakukan penelitian selanjutnya. Menulis rujukan jurnal yang dimuat. Cara menulis daftar rujukan daftar rujukan merupakan daftar yang berisi buku, makalah, artikel, atau bahan lainnya yang dikutip baik secara langsung maupun tidak langsung. Demikian tadi penjelasan singkat mengenai contoh daftar pustaka jurnal dan cara menulis daftar pustaka dari jurnal. Itulah beberapa cara menulis daftar pustaka dari jurnal yang perlu kamu ketahui dan kamu terapkan dalam penelitian atau makalah yang sedang kamu buat.

Apa Style Format In Word Reference Section Youtube
Apa Style Format In Word Reference Section Youtube from i.ytimg.com
Cara menulis daftar pustaka itu sangat mudah. Daftar pustaka merupakan daftar rujukan yang mencantumkan judul, nama pengarang, tahun terbit, dan sebagainya yang di tempatkan di halaman terakhir suatu karya tulis. Artikel berikut bisa menjadi referensi bagi anda karena kami akan sedikit mengulas terkait cara menulis daftar pustaka dari jurnal. Cara menulis daftar pustaka dari jurnal. Jadi tidak hanya ditulis ketika menulis jurnal, tetapi juga menulis skripsi, makalah, laporan, menulis buku hingga menulis artikel sekalipun. Cara menulis catatan kaki (footnote) dari jurnal. Cara mengutip jurnal tentang database di apa. Tahap pertama yang harus diperhatikan sebelum menulis jurnal harus melaksanakan penelitian.

Bisa juga menjadi bahan rujukan dalam melakukan penelitian.

Tujuan pembuatan jurnal ilmiah adalah untuk mengembangkan sebuah penelitian yang telah ditulis serta menjadi acuan untuk para peneliti lain yang dapat juga sebuah jurnal ilmiah dijadikan bahan rujukan dalam melakukan penelitian selanjutnya. Tata cara penulisan rujukan dan daftar pustaka. 4.3.1 buku dengan satu pengarang. Penulisan nama pengarang tanpa menggunakan gelar(akademik. Tulisan dalam artikel ini akan terus diperbaharui baik dari segi penambahan contoh ataupun penambahan gaya. Cara menulis daftar rujukan daftar rujukan merupakan daftar yang berisi buku, makalah, artikel, atau bahan lainnya yang dikutip baik secara langsung maupun tidak langsung. 4.3 cara menulis footnote dari buku. Untuk mahasiswa s1 dan s2 yang sedang mengerjakan tugas akhir. Artikel berikut bisa menjadi referensi bagi anda karena kami akan sedikit mengulas terkait cara menulis daftar pustaka dari jurnal. Secara umum daftar pustaka memiliki cara penulisan yang baku akan tetapi karena sumber rujukan beraneka ragam bentuknya bisa cara menulis daftar pustaka dari jurnal sebagai berikut: Sumber tulisan yang dapat kita jadikan sebagai bahan rujukan untuk menulis suatu karya ilmiah bisa berasal dari jurnal, buku adapun cara menulis footnote dari sumber yang berbeda juga memiliki teknik penulisan yang berbeda. Didalam jurnal pasti terdapat tidak hanya 2 atau 3 nama. Sebelum anda mengetahui cara menulis daftar pustaka dari jurnal sebaiknya anda mengetahui terlebih dahulu prinsip dasar penulisan daftar pustaka :

Tata cara penulisan rujukan dan daftar pustaka. Tahap pertama yang harus diperhatikan sebelum menulis jurnal harus melaksanakan penelitian. Kemudian, bagaimana cara menyantumkan sumber tersebut? Cara menulis sitasi mla (modern language association). Tutorial lengkap mencari jurnal bahan penulisan skripsi dan tesis.

Perbezaan Antara Apa Dan Harvard Rujukan Apa Vs Harvard Rujukan 2021 Pendidikan
Perbezaan Antara Apa Dan Harvard Rujukan Apa Vs Harvard Rujukan 2021 Pendidikan from pic.weblogographic.com
Contoh daftar pustaka, cara menulis, panduan lengkap menulis daftar pustaka ilmiah. Tidak perlu diasingkan bahan sumber rujukan buku, jurnal, kertas seminar, tesis, dai & akhbar 11. Sumber tulisan yang dapat kita jadikan sebagai bahan rujukan untuk menulis suatu karya ilmiah bisa berasal dari jurnal, buku adapun cara menulis footnote dari sumber yang berbeda juga memiliki teknik penulisan yang berbeda. Berkat kemajuan teknologi saat ini, mencari referensi melalui dunia digital dapat mempermudah banyak hal termasuk dalam mencari jurnal dengan pembahasan yang sesuai dengan makalah yang hendak kita buat. Cara menulis daftar pustaka dari jurnal. April 17, 2021 1 min read. Cara menulis daftar pustaka itu sangat mudah. 3 cara membuat jurnal dengan benar.

Bukan daftar kutipan, tapi kutipan langsung yang berasal dari internet, makasih…^_^

Cara menulis sitasi mla (modern language association). Didalam jurnal pasti terdapat tidak hanya 2 atau 3 nama. Menulis rujukan jurnal yang dimuat. Cara menulis daftar pustaka dari jurnal format apa style Secara umum daftar pustaka memiliki cara penulisan yang baku akan tetapi karena sumber rujukan beraneka ragam bentuknya bisa cara menulis daftar pustaka dari jurnal sebagai berikut: 4.3 cara menulis footnote dari buku. Penulisan daftar pustaka yang sumbernya dari jurnal tidak jauh berbeda dari yang sumbernya buku. April 17, 2021 1 min read. Hanya saja, di sini terdapat judul jurnal, volume, dan. Nama penulis ditulis paling depan diikuti dengan tahun dan judul artikel yang dulis dengan cetak biasa, dan huruf besar bagaimana cara menulis kutipan langsung dari internet? Cara menulis daftar pustaka dari jurnal. Cara menulis daftar pustaka dari jurnal. Sumber tulisan yang dapat kita jadikan sebagai bahan rujukan untuk menulis suatu karya ilmiah bisa berasal dari jurnal, buku adapun cara menulis footnote dari sumber yang berbeda juga memiliki teknik penulisan yang berbeda.

Related : Cara Menulis Rujukan Jurnal : 4.3.1 buku dengan satu pengarang..